1. 定義與核心關系
- 軸向分辨率:指OCT系統在深度方向(軸向)上區分相鄰結構的能力,通常由光源的中心波長(λ?)和帶寬(Δλ)決定,理論公式為:

其中,Δz為軸向分辨率,λ0為中心波長,Δλ為光譜帶寬。
帶寬越寬,分辨率越高(Δz越小)。
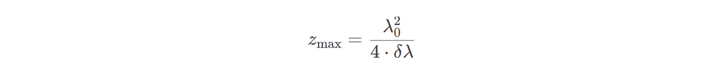
- 成像深度:指OCT能探測的最大光學路徑長度,由光源的中心波長和探測器的采樣間隔決定。對于頻域OCT(FD-OCT),成像深度為:

其中,δλ是光譜采樣間隔(與光譜儀的分辨率相關)。
更小的采樣間隔(更高光譜分辨率)可增加成像深度,但會犧牲其他性能(如速度)。
2. 兩者的獨立性
- 物理機制不同:
 
- 軸向分辨率取決于光源的相干特性(帶寬)。
- 成像深度主要由探測系統的光譜分辨能力(如光譜儀的像素數、采樣率)決定。
 因此,理論上可以通過選擇不同光源和探測器獨立優化這兩個參數。
- 技術實現示例:
 
- 使用超寬帶光源(如λ?=1300nm,Δλ=300nm)可實現高軸向分辨率(如2μm),但成像深度仍由光譜儀設計決定。
- 增加光譜儀的像素數可提升成像深度,但不直接影響分辨率。
3. 實際系統中的相互制約
盡管獨立,但在系統設計中二者可能間接關聯:
- 光譜儀帶寬與采樣率的權衡:
 高分辨率(寬帶寬)光源需要光譜儀具備更精細的采樣(更多像素)以維持成像深度,否則可能導致深度范圍不足。
- 信號處理限制:
 更深的成像需要更長的干涉信號采樣,可能增加數據處理負擔,但對分辨率無直接影響。
- 散射與信噪比(SNR):
 在深層組織中,散射會降低信號強度,可能導致高分辨率難以實際利用(盡管理論分辨率不變)。

小鼠大腦血管造影成像人眼視網膜成像示意圖液晶面板的膠合層析結構成像和直徑 100μm 玻璃小球的 enface 圖像